HISTORIA DE LA RADIODIFUSION DESDE SUS ORÍGENES HASTA 1925
Nuestro objetivo es mostrar el desarrollo de la radio desde
sus orígenes hasta su completo desarrollo, y, aprovechando la ocasión mostrar cómo
se lograron resultados muy importantes empleando instrumentos primitivos o
inadecuados. Tenemos también la intensión declarada de rescatar del olvido a
algunos personajes vitales de esta historia y que por diversas razones son
completamente ignorados en la actualidad.
![]() |
| Tales de Mileto Grecia-639BC/546BC |
Durante siglos estas propiedades del ámbar siguieron
asombrando a quienes las verificaran pero no se hallaron aplicaciones ni
explicaciones a este hecho. Recién hacia el siglo XVII los estudiosos comienzan
a descubrir nuevos fenómenos relacionados y a tratar de explicarlos, aunque
muchas de estas descripciones no serían aceptadas en nuestros días. (Recordar
que el electrón recién es descubierto en 1897 por Sir Joseph Thompson.)
En el año 1600 William Gilbert, médico de la reina
Elizabeth, inventa el electroscopio, dispositivo primitivo para medir la
electricidad estática, (hoy diríamos “la cantidad de carga eléctrica”). Tal vez
más trascendente, acuña el término “eléctrico” que hasta ahora no se había
usado. Publica en 1600 su famoso tratado en 6 tomos sobre el magnetismo ¨De
Magnete¨.
![]() |
| William Gilbert
Inglaterra-1544/1603 |
![]() |
| Electroscopio de Gilbert |
![]() |
| Electroscopio de hojas |
![]() |
| Electroscopio de bolas |
El desarrollo de la electricidad seguía siendo muy lento y
mayormente consistía en mecanizar el frotamiento del ámbar o cualquier otra
sustancia electrificable con el objetivo de obtener mayores cantidades de carga
eléctrica. Hacia 1672 Otto von Guericke , a quién seguramente recordarán por su
experimento de los hemisferios de Magdenburgo, montó una gran esfera de azufre
de aproximadamente 1 metro de diámetro, sobre un eje accionado por una manivela.
La esfera se electrificaba simplemente apoyando la mano
sobre ella mientras esta giraba. Sus observaciones incluyen la emisión
electrónica de los cuerpos calientes, aunque por supuesto no la pudo explicar
en estos términos. La observación de las 5 chispas eléctricas producidas por su
máquina lo llevó a asociar el fenómeno eléctrico con los rayos. Sería Benjamín
Franklin quien lo verificara hacia 1772.
Hacia 1729 Stephen Gray, un tintorero inglés que vivió ente
1666 y 1736, comienza a distinguir entre aisladores y conductores y construye
una línea de transmisión eléctrica de 120 metros de longitud por la cual logra
transmitir impulsos eléctricos (tal vez la primera línea de transmisión
eléctrica). También descubre que una esfera de metal caliente se descarga
rápidamente (emisión electrónica).
Hasta acá el desarrollo de la electricidad involucraba
exclusivamente electricidad estática. Las corrientes eléctricas involucradas en
los experimentos eran extremadamente pequeñas, aunque los voltajes eran muy altos.
Desde luego todavía no se hablaba en estos términos.
En 1780 Luigi Galvani, un biólogo italiano tocó accidentalmente su bisturí de
acero con la grampa de bronce con la que sostenía una rana que estaba disecando, al
hacerlo notó que la rana sufría espasmos similares a los producidos por una descarga
eléctrica. Galvani de acuerdo a las ideas de la época pensó que la electricidad era
producida en el animal y se refirió al fenómeno como “electricidad animal”.
![]() |
| Luigi Galvani Italia-1737/1798 |
![]() |
| Alessandro Volta Italia-1745/1827 |
Luego de algunos experimentos deduce acertadamente que la rana era
simplemente el electrolito de un sistema electroquímico. De hecho Alessandro Volta es
considerado un precursor de la electroquímica. Como resultado de sus hallazgos Volta
inventa la pila electroquímica, poniendo a disposición de los investigadores que lo
siguieron, grandes cantidades de corriente eléctrica.
Evidentemente Volta no es un héroe olvidado en esta historia. Frecuentemente
nos referimos a los 220 voltios de la red de distribución de energía eléctrica, a los 1.5
voltios de una pila, a los 12 voltios de la batería de un automóvil, etc.. Estos
comentarios son hechos correctamente por legos y expertos por igual y en mi opinión el
trabajo y la inspiración de Volta lo merecen. Sin ninguna duda la invención de la pila
eléctrica y la consiguiente disponibilidad de cantidades importantes de corriente
eléctrica trajo como consecuencia el desarrollo acelerado de la electricidad y desde 1800
y en poco más de 100 años, todo el electromagnetismo había sido desarrollado. Sin
ninguna duda Volta tiene mucho que ver con estos logros.
Como ya lo anticipáramos, el siglo 19 es pródigo en descubrimientos sobre la electricidad y nombrar a todos los estudiosos de este tema es una tarea imposible.
Como ya lo anticipáramos, el siglo 19 es pródigo en descubrimientos sobre la electricidad y nombrar a todos los estudiosos de este tema es una tarea imposible.
![]() |
| Pila de Volta |
Surgen algunos nombres destacados como el de George Simon Ohm (alemán 1789-1854) su ley sobre resistencias eléctricas y los nombres de Hans Christian Oersted (dinamarqués 1777-1851) y André-Marie Ampére (francés 1775- 1836), quienes relacionan la electricidad con el magnetismo. Otros nombres importantes son los de Charles-Agustin de Coulomb (francés-1736/1806) y el de Carl Friedich Gauus (alemán-1777/1855). Sin duda alguna es imposible mencionar a todos los investigadores de la época que se dedicaron al tema.
Un nombre que resalta es el de Michael Faraday (inglés 1791-1867). Hijo de un
humilde herrero, a los 13 años (1804) se hace aprendiz de encuadernador.
Aprovechando su profesión lee todo lo que pasa por sus manos y repite los
experimentos que están a su alcance. En 1812 conoce al célebre químico Humphry
Davy y le solicita un puesto de ayudante en su laboratorio. Davy impresionado por los
conocimientos de Faraday se convierte en su mentor y lo defiende de los ataques por los
experimentos supuestamente inútiles que realizaba.
![]() |
| Michael Faraday Inglaterra-1791/1867 |
Hacia 1931 realiza sus experimentos sobre inducción electromagnética. En sus escritos llega a suponer que la luz es un fenómeno electromagnético. Resulta interesante 9 saber que no conocía el cálculo diferencial y sus resultados experimentales debieron esperar al genio de James Clerk Maxwell quién desarrollaría su famosa teoría reuniendo todos los hallazgos experimentales de Faraday y sus predecesores.
En el ínterin las comunicaciones eléctricas se desarrollan con el desarrollo del
telégrafo eléctrico por Samuel Morse entre 1933 y 1944 en EEUU.
![]() |
| Samuel Morse EEUU-1791/1872 |
James Clerk Maxwell (nacido James Clerk) fue el encargado de
reunir todos los hechos experimentales realizados en los siglos anteriores.
Nacido en Escocia en 1831 en el seno de una familia acomodada, recibió una
excelente educación que culminaría en el Trinity College de Cambridge. En 1871
es nombrado director del laboratorio Cavendish en Cambridge y en 1873 publica
“Un Tratado de Electricidad y Magnetismo” donde aparecen por primera vez la
ahora famosas “ecuaciones de Maxwell” que originalmente eran 20. Maxwell mismo
las redujo a 13. La forma actual de 4 ecuaciones fueron desarrolladas por
Heaviside y Hertz .
![]() |
| James Clerk Maxwell Escocia -1831/1879 |
![]() |
| Ecuaciones de Maxwell |
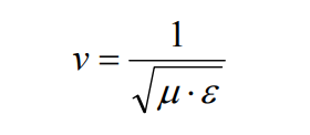
Las ecuaciones de Maxwell predicen la existencia de ondas electromagnéticas que se
propagan con la velocidad:
Con los datos de la época esta velocidad estaba asombrosamente cercana a la
velocidad de la luz que ya se conocía bastante bien. La conclusión fue inmediata. La luz
es un fenómeno electromagnético como ya lo había sospechado Faraday. De hecho era
el único fenómeno electromagnético conocido por Maxwell y sus contemporáneos.
Maxwell predijo correctamente que deberían existir otros tipos de ondas
electromagnéticas, pero muere en 1879 sin llegar a conocerlas.
Por esa época era bien conocido que los campos de inducción se atenúan por lo
menos con el cuadrado de la inversa de la distancia. La teoría de Maxwell predice la
existencia de campos de radiación que se atenúan sólo con la inversa de la distancia.
Esto hace que un campo de radiación pueda ser detectado a mucho mayores distancias y
abre el camino a las comunicaciones inalámbricas.
En 1874 Carl Ferdinand Braun, un físico alemán, descubre las propiedades
rectificadoras de ciertos minerales como la pirita de hierro y el sulfuro de plomo
(Galena). Braun es uno de los protagonistas olvidados de esta saga, el rectificador no es
el único de sus logros relacionados con la radotelegrafía.
Las comunicaciones eléctricas continúan desarrollándose con la instalación del
primer cable telegráfico entre Irlanda y Terranova en el año 1866.
En 1876 Alexander Gram. Bell patenta su teléfono.
En 1883 Heinrich Rudolf Hertz buscaba un tema de trabajo luego de su
doctorado cuando tropezó con los trabajos de Maxwell. Decidido a demostrar la
existencia de ondas electromagnéticas distintas a las de la luz, diseña algunos
experimentos en frecuencias bajas pasando posteriormente a una frecuencia cercana a
los 400 Mhz. Hacia 1887 había demostrado que estas ondas se comportaban de igual
manera que la luz pero con una longitud de onda mucho mayor.
![]() |
| Heinrich Rudolf Hertz Alemania-1857/1894 |
En particular demostró que estas ondas podían ser:
Reflejadas
Refractadas
Polarizadas
Interferidas
Difractadas
Es decir se comportaban exactamente como uno esperaría que se comportara la
luz.
Es interesante revisar como Hertz generaba y detectaba las ondas
electromagnéticas. Para la generación empleaba chispas eléctricas que excitaban un
resonador que producía ondas amortiguadas. Para la recepción empleaba un dipolo de
media onda doblado de manera de formar un aro (el Aro de Hertz). La disposición era la
siguiente:
![]() |
| Transmisor y Receptor de Hertz |
La antena del transmisor es eléctricamente corta para la frecuencia de resonancia por lo que la resistencia de radiación es baja y en consecuencia el Q del circuito resonante es alto (Q > 100).
Cuando se conecta la batería la corriente en el primario del transformador
comienza a crecer. Llega un momento en que la magnetización del núcleo del
transformador es tan grande que atrae el interruptor abriendo el circuito primario. Al
abrirse el circuito, la corriente en el primario no puede hacerse instantáneamente cero y
circula por el capacitor incrementando su tensión.
![]() |
| Generación de Ondas Amortiguadas |
Esta tensión aparece aumentada por la relación de vueltas en el secundario del transformador. Si la tensión en el secundario es suficientemente elevada, se alcanza la tensión de ruptura en el explosor y salta una chispa. Cuando esto sucede la tensión sobre el explosor se hace cero casi instantáneamente excitando oscilaciones amortiguadas en el resonador constituido por la antena. El proceso se repite mientras esté conectada la batería generando un tren de ondas amortiguadas.
En el dipolo receptor la tensión en máxima en los extremos del mismo. Como
está doblado de manera que quede un pequeño espacio entre sus extremos, es posible
que salte una chispa cuando se recibe una señal suficientemente intensa. Con estos
sencillos dispositivos Hertz llevó a cabo sus muy importantes investigaciones. Hertz
también demostró que el calor también se propaga en forma de ondas
electromagnéticas.
Casi simultáneamente con Hertz, Jagadish Chandra Bose repite en la India las
experiencias de Hertz. Lo interesante de estas experiencias es que Bose las realiza en
una frecuencia cercana a los 60GHz!.
![]() |
| Sir Jagadish Chandra Bose India-1857/1937 |
Bose es otro de los protagonistas olvidados de esta historia, quien además desarrolla el detector de galena y en 1901 aplica por una patente para un ¨Detector de Ondas de Radio¨.
El siglo XIX es el siglo de los telégrafos. Alejandro Dumas describe
detalladamente en El Conde de Montecristo como funcionaba el telégrafo óptico
diseñado por Claude Chappe con estaciones relevadoras cada 10 Km.
![]() |
| Telégrafo óptico |
Como se ha comentado a partir de alrededor de 1850 se disponía del telégrafo eléctrico. Este último cubría mayores distancias que el óptico, pero requería de mayor infraestructura y era más vulnerable a los ataques. En este contexto un medio de comunicación inalámbrico, aunque cubriera distancias moderadas era interesante. Además existían circunstancias en las cuales las instalaciones no podían ser erigidas como el caso de las comunicaciones marítimas.
Durante el año 1895, un joven físico italiano, Guglielmo Marconi, logra
establecer comunicaciones inalámbricas sobre distancia de 2km. Como detector
(ultrasensible para la época) Marconi emplea el “cohesor” desarrollado por el francés
Edouard Branly. El cohesor era un simple tubo de vidrio con terminales eléctricos en
sus extremos, parcialmente lleno de limaduras metálicas. Este dispositivo presenta una muy elevada resistencia de bajas tensiones hasta que se llega a una tensión umbral
donde la resistencia se reduce a valores muy bajos.
![]() |
| Guglielmo Marconi Italia -1874/1937 |
![]() |
| Cohesor |
La tensión umbral es del orden de 10 voltios con una corriente de umbral de algunos microamperes. Afortunadamente la energía necesaria para la conmutación es muy pequeña. De todas maneras las intensidades de señal recibida para accionar el cohesor eran muchos órdenes de magnitud mayores que los niveles teóricamente detectables.
![]() |
| Relación Tensión-Corriente en el Cohesor |
También es necesario tener en cuenta que no existía ningún tipo de amplificador.
De tal manera que lo que se detectaba era en el mejor de los casos, lo que se escuchaba.
Un teléfono auricular de la época tal vez permitía escuchar una señal de 10-8 [w]
mientras que un receptor moderno permite, en las mismas condiciones detectar señales del orden de 10-14 [vatios]. El transmisor de Marconi era y lo fue por
varios años el transmisor de Hertz, salvo por el cambio de escala.
En 1896 Marconi, cuya madre era irlandesa, se traslada a Inglaterra donde
rápidamente es capaz de transmitir señales a una distancia de 19 km. Ese mismo año y
todavía muy joven funda su compañía comercial que todavía existe. En 1899 consigue
transmitir señales a un barco en navegación a una distancia de 120 kilómetros.
Sus esfuerzos por lograr una comunicación trasatlántica culminan con éxito el 12
de Diciembre de 1901 con su famosa transmisión de la letra “S” en código Morse entre
Terranova y el sudeste del Reino Unido cubriendo una distancia de 3360 kilómetros.
Inmediatamente surge la famosa controversia entre Marconi y Henry Poincaré,
por entonces Presidente de la Academia Francesa de Ciencias, acerca de la
imposibilidad de haber realizado tal comunicación. Resulta que las ondas de radio se
propagan en línea recta por lo que no pueden seguir la curvatura de la tierra. Algunos
hechos tales como la estructura de la atmósfera tienden a curvar las ondas de radio hacia
la tierra de manera de incrementar el alcance de las mismas. Con los datos de la época,
Poincaré estimaba que la distancia máxima podía ser de unos 300 Km. Hoy sabemos
que estos cálculos son optimistas. Lo que no sabían ni Marconi de Poincaré era la
existencia de la ionosfera que es capaz de reflejar las ondas de radio hacia la tierra. Un
año más tarde, Kenelly y Heaviside proponen la existencia de la ionósfera.
Posteriormente, y cuando las transmisiones de radio estaban firmemente
establecidas, se ha llegado a sospechar que aunque Marconi empleaba una potencia de
50 kw en su transmisor la comunicación transatlántica nunca pudo haberse realizado. Y
es que el cohesor que Marconi dice haber usado como detector es sumamente
ineficiente. De todas maneras y, aunque Marconi era muy autoritario y poco dispuesto a
dar explicaciones, es casi seguro que la comunicación existió. Posiblemente usó el
detector a galena o alguno similar, pero por problema de patentes no lo pudo dar a
conocer.
Marconi sostuvo una larga disputa por la patente del detector a galena con Bose
que llegaría finalmente a un acuerdo privado. También reconoció tibiamente haberse
aprovechado de las patentes de Braun.
En 1909 Marconi fue reconocido con el premio Nobel de física por sus
descubrimientos en radiocomunicaciones, premio que compartió con Braun. Podría
pensarse que Braun obtuvo el premio por su trabajo pionero en los diodos detectores,
pero no fue así. Braun, además de descubrir las propiedades rectificativas de ciertos
materiales, inventó la sintonía. Hoy todos recordamos a Marconi, pero a Braun y a Bose
muy pocos.
Las transmisiones de Marconi eran telegráficas pero el interés en las
comunicaciones de sonido apareció inmediatamente después. Fessenden, un ingeniero
canadiense, se dio cuenta rápidamente de la frecuencia de repetición de las chispas, que
por ese entonces era de unas 100 chispas por segundo, debía ser mucho mayor si se
querían transmitir sonidos audibles. Una señal de audio, tal como la que sale de un
micrófono, es analógica. Esto es, consta de infinitos punto. Si cada chispa representa un
punto de la señal de audio, deberíamos tener infinitas de ellas por unidad de tiempo lo
cual no es posible. Hoy sabemos que se puede representar una señal de ancho de banda
limitada con un número finito de puntos de la señal por unidad de tiempo. Pero
Fessenden, que no disponía de Teorema del muestreo, decidió muy acertadamente que
10.000 chispas por segundo serían suficientes, logrando transmitir sonido en 1902 sobre
una distancia de 1200 metros.
![]() |
| Reginald Fessenden Canadá-1866/1932 |
La noche de Navidad de 1906 empleando un alternador como generador de
ondas realizó la primera transmisión de radio de la historia destinada al público en general. La transmisión empleó la frecuencia de 42 kilohertz y tenía una potencia de 1
kilovatio. Constó de una introducción realizada, por el mismo Fessenden, seguida por
villancicos cantados por una soprano. Finalmente el inventor interpretó al violín Oh
Holy Night para finalizar leyendo algunos pasajes de la Biblia y solicitando reportes de
la transmisión. El programa de radio navideño fue escuchado por muchos barcos que ya
tenían estaciones radiotelegráficas y cuyos operadores no podían dar crédito a lo que
escuchaban y llamaban a sus capitanes a constatar lo que oían.
![]() |
| Señal de audio |
![]() |
| Señal de audio con pocas muestras |
![]() |
| Señal de audio sobremuestrada |
Fesseden y otros investigadores estaban convencidos de la necesidad de emplear
ondas continuas en lugar de ondas amortiguadas. Simultáneamente muchos teóricos
señalaban la ineficiencia de las ondas amortiguadas. Pero Marconi con su habitual
tozudez, insistía que las chispas eran necesarias para “romper el éter y penetrarlo”(sic).
En esa época se pensaba que las ondas de radio se propagaban en un medio inmaterial
llamado “éter”.
Inmediatamente después de la primera comunicación transatlántica comenzó la
búsqueda de un mejor detector que el cohesor. En 1883, Thomas Alba Edison que
estaba desarrollando su lámpara incandescente, notó que si agregaba un electrodo a la
misma, circulaba corriente cuando el electrodo se polarizaba positivamente con respecto
al filamento y la corriente cesaba totalmente si se invertía la polaridad. No se halló ninguna explicación al fenómeno y sorprendentemente Edison tampoco le halló ninguna
utilidad. De todas maneras esto llamó la atención y el fenómeno fue mostrado a muchos
científicos entre otros a Ambrose Fleming del University College de Londres.
En 1897 Sir Joseph Thompson descubre el electrón y el “efecto Edison”
comienza a ser explicado.
Alrededor de 1901 Fleming es contratado por Marconi como asesor con el
encargo de mejorar su sistema de comunicación.
Rápidamente se da cuenta que el mayor problema era el sistema de detección y se
pregunta si el efecto Edison no sería de ayuda. Hacia 1904 había perfeccionado su diodo
termoiónico, al que llamó “válvula oscilatoria”, demostrando que podía ser usado como
detector de ondas de radio.
Para esa época también se estaban perfeccionando otros detectores como el de
galena o el de carburo de silicio sobre los cuales el diodo de vacío no mostraba ventajas.
Además este era caro, frágil, de corta vida útil y necesitaba una batería para alimentar el
filamento. No es raro que el detector de galena haya continuado siendo usado hasta
mediados de los años veinte.
El desarrollo de la válvula de vacío continuó y, tratando de evitar las patentes de
Fleming, Lee de Forest patenta en 1907 una válvula de vacío con tres electrodos a la
que llama audión.
![]() |
| Audión de Forest-1906 |
Hoy sabemos que esta válvula puede ser usada como amplificador, pero el
objetivo de de Forest era emplearla como detector de ondas de radio y, según se dice,
nunca llegó a comprender completamente su funcionamiento. Recién en 1911 se le
encontró uso como amplificador. Pero esos triodos primitivos eran sumamente
ineficientes. Se creía además que era necesario dejar algo de aire en el interior del tubo
para mejorar el funcionamiento lo cual hacía que fueran notablemente ruidosos. No es
de extrañar que estos dispositivos fueran ignorados durante largo tiempo.
![]() |
| Lee de Forest EEUU-1873/1961 |
![]() |
| Valdemar Poulsen Dinamarca-1869/1942 |
Como ya lo hemos mencionado, otra manera de mejorar las transmisiones de
radio consistía en generar ondas contínuas. Dos métodos aparecen: el de Valdemar
Poolsen en Dinamarca y el de Fessenden en EEUU. Poolsen conocía el hecho de que el
arco eléctrico presenta resistencia dinámica negativa.
![]() |
| Relación Corriente-Voltaje en el Arco Eléctrico |
En 1906 comienza a usar el arco eléctrico para generar oscilaciones de alta
frecuencia y en el mismo año se construyen transmisores de arco. Como el arco no
puede encenderse y apagarse rápidamente como la chispa, los transmisores de arco eran
del tipo de manipulación por desplazamiento de frecuencia (FSK)
![]() |
| Transmisor de Arco |
Los transmisores de arco rápidamente muestran su superioridad con respecto a
los de chispa y son adoptados inmediatamente. Para fines de la primera guerra mundial
el 80% de los transmisores instalados era de arco. Las potencias instaladas eran enormes
aún en los estándares actuales, en Bordeaux, Francia se instaló en 1921 un transmisor de
arco de 1 MW.
El transmisor de arco más grande fue una construido por Holanda para sus
territorios de ultramar con una potencia de 3.6MW.
Cuando en 1932 el Doctor Ernest Lawrence de la Universidad de California en
Berkeley estaba buscando la manera de construir un cyclotron de gran tamaño, encontró
que las fuerzas armadas disponían de algunos transmisores de arco sobrantes de 1MW
de potencia sobrantes de la Gran Guerra. Estos transmisores proporcionaron los grandes
electroimanes y la fuente de radiofrecuencia necesarios y permanecieron en
funcionamiento hasta 1954..
Fessenden tomó un enfoque más directo , por esa época la manera bien conocida
de generar señal sinusoidal pura era el alternador por lo que encargó a Ernest
Alexanderson de General Electric un alternador de alta frecuencia. En el alternador la
frecuencia de la onda generada está dada por:
Aún con 600 pares de polos y 20.000 revoluciones por minuto, la frecuencia generada
era de sólo:
Frecuencias mayores podían obtenerse usando multiplicadores de frecuencia con
inductores con núcleo de hierro.
![]() |
| Alternador Fessenden/Alexanderson |
El alternador puede modularse en amplitud con sólo variar la corriente de
campo. A este fin la compañía General Electric adquieren las patentes de Lee de Forest,
según dicen por mucho menos de su valor real, y se proponen mejorarlos empleando
técnicas de ingeniería. Cuando los tríodos mejorados estuvieron disponibles se dieron
cuenta que estos podían ser empleados para generar ondas de radio aunque las potencias
obtenidas eran pequeñas.
Hacia 1915 podían obtenerse unos 15 vatios por tubo de vacío y hasta 500 de
estos se ponían en paralelo para obtener algunos kilovatios. A la larga los tubos de vacío
desplazaron a todos los demás métodos de generación de ondas de radio.
La generación de señales de modulación de amplitud era sumamente cruda. La
amplitud de la oscilación se conseguía empleando un micrófono de carbón. Un
micrófono de este tipo está constituido por una cápsula rellena de granos de carbón y
cerrada por un diafragma. Cuando la presión sonora incide sobre el diafragma, este
aumenta o reduce la presión ejercida sobre los granos de carbón reduciendo o aumentando la resistencia eléctrica del micrófono. Como el micrófono está en serie con
la antena modifica la corriente que circula por la misma de acuerdo con el sonido que
recibe. Desde luego, si el transmisor genera una potencia considerable, también será
elevada la potencia disipada en el micrófono. Para este fin se fabricaban micrófonos
especiales con refrigeración a agua. De todas maneras era frecuente que los micrófonos
generaran humo o aún se prendieran fuego. Los micrófonos se colocaban algunas veces
detrás de una malla metálica para la protección de los locutores.
![]() |
| Modulación por absorción |
Entre los diseñadores más importantes de equipamiento de radio se encuentra
Edwin H. Armstrong.
Hemos dicho que el tríodo, en sus orígenes, era sumamente ineficiente.
Armstrong pensó que la señal ligeramente amplificada por el tríodo podía ser
realimentada nuevamente a la entrada del mismo para ser amplificada nuevamente. Crea
así el receptor regenerativo patentado en 1914.
![]() |
| Receptor Regenerativo |
El amplificador debe ser cuidadosamente ajustado para evitar que entre en oscilación.
Posteriormente descubre que podía permitir que el amplificador oscilara siempre y
cuando la oscilación se interrumpiera periódicamente, creando el receptor súper
regenerativo que es sumamente eficiente. Este receptor ha sido redescubierto recientemente ya que permite construir un receptor ultrasensible con un sólo transistor.
Cada vez que se acciona el control de alarma de un automotor, seguramente se usa un
receptor súperregerativo.
Durante la Primera Guerra Mundial, Armstrong fue destacado a un laboratorio
de investigación en París. Por ese entonces corría el rumor que los alemanes empleaban
el increíble (para la época) de frecuencias de 500 a 3000KHz en sus comunicaciones en
el campo de batalla. Ningún receptor de los aliados era capaz de recibir tales
frecuencias. Encargado Armstrong de resolver el problema, diseña el receptor
superheterodino demostrando que los rumores eran falsos. Su trabaja le valió la Legion
d'Honneur y la primera Medal of Honor del Institute of Radio Engineers. En la
actualidad este sistema se emplea en la mayoría de los equipos de comunicación tales
como receptores de radio de AM y FM, televisores, teléfonos celulares, radio móvil, etc,
etc, etc.
También se recuerda a Armstrong por ser el inventor de la radio de frecuencia
modulada.
Luego de la Primera Guerra Mundial el uso de la radio creció rápidamente. La
calidad de las transmisiones de audio era, en general, muy buena pero en algunas
situaciones y, sin que hubiera ninguna explicación, era simplemente muy mala.
Los primeros estudios del problema mostraron que este tenía que ver con la
distancia entre el transmisor y el receptor lo que llevó rápidamente a la sospecha de que
al receptor llegaban dos ondas de radio, una directa y la otra reflejada por la ionosfera.
Por entonces el transmisor generalmente constaba de un solo tubo de vacío y su
frecuencia estaba controlada por un resonador LC. Esta frecuencia variaba fuertemente
con la modulación y, como el retardo de la onda ionosférica puede ser del orden de 1
milisegundo, al receptor llegaban dos ondas de frecuencia distinta lo que resultaba en el
problema observado. La solución era controlar estrictamente la frecuencia del
transmisor.
En esa época el Doctor Walter Cady de la Universidad Wesleyan en Connecticut
había desarrollado el oscilador controlado por un cristal de cuarzo y mostrado que tenía
una estabilidad extraordinaria, tan alta que era una curiosidad de laboratorio sin otra
utilidad que proporcionar estándares de frecuencia.
![]() |
| Mineral de Cuarzo |
Como suele suceder, la solución encontró su problema. A partir de entonces y
aún en nuestros días, el oscilador controlado con cristal de cuarzo es empleado en casi la
totalidad de los transmisores de radio para establecer su frecuencia.
Tal vez, y esta es mi opinión personal, este fue el último de los desarrollos
importantes en la historia de la radio difusión sonora.
La radio como entretenimiento
Desde los comienzos hubo interés en utilizar las comunicaciones eléctricas para
transmitir entretenimiento. Así, y casi desde la invención del teléfono, este podía usarse
para recibir música desde las salas de concierto.
En 1906 cuando Fessenden realiza su histórica transmisión de sonido por radio
incluye música en su transmisión.
A partir de entonces la mayoría de las transmisiones experimentales de radio
generalmente incluían música.
A partir de 1907, Lee de Forest, comienza sus transmisiones de radio que con
cierta regularidad durarían ha la entrada de los EEUU en la Primera Guerra Mundial.
Sus transmisiones normalmente incluyen música con registros grabados e
interpretaciones en vivo. En 1908 y recién casado, viaja a París para realizar
demostraciones desde la Torre Eiffel transmitiendo registros musicales.
Lee de Forest reclama haber realizado el primer anuncio publicitario de la
historia en 1909, desde luego el artículo publicitado era su Audión.
En Enero de 1910 realiza sus primeras transmisiones desde el Metropolitan
Opera House de Nueva York. Con un transmisor de 500 vatios y dos micrófonos
transmite Tosca el 12 de Enero y Cavalleria Rusticana el 13 del mismo mes. Se discute
si Enrico Caruso intervino en esas óperas. Estas transmisiones continúan hasta 1917.
Si bien las transmisiones de Lee de Forest contaron con cierta notoriedad en las
cercanías de Nueva York, incontables transmisiones similares se realizaban en todo el
mundo.
En 1915, David Sarnoff un personaje que sería clave en el desarrollo de la radio
y la televisión, escribe su ahora famoso memorandum a su jefe en la American Marconi.
En este memorandum Sarnoff propone el desarrollo de un sistema de radiodifusión con
todo detalle. Llega incluso a imaginar como sería el receptor hogareño no muy diferente
de un receptor actual (los de mayor tamaño) y su costo (U$75.-- de 1915). La idea no
atrae la atención y la guerra en Europa genera otras preocupaciones en la empresa.
Después de la Guerra, Sarnoff funda la National Broadcasting Company (NBC) y la Radio Corporation of America (RCA) donde puede poner en marcha sus ideas. Sarnoff
es un personaje central en el desarrollo de la radio y de la televisión.
Finalizada la Gran Guerra, en todas partes se espera ansiosamente el
levantamiento de la prohibición de realizar transmisiones. El 24 de Septiembre de 1919
la emisora XWA de Montreal, Canadá, es autorizada a comenzar sus transmisiones
regulares de radio destinadas al público en general. La emisora que pertenecía al grupo
Marconi reclama el título de Primera Emisora de Radio del Mundo.
A partir de ese momento en todo el mundo se desata un aluvión de individuos y
empresas que tratan de obtener la autorización para instalar emisoras de radiodifusión.
En nuestro país, el 27 de Agosto de 1920, Enrique Susini, Miguel Mugica, César
Guerrico y Luis Romero instalan en el Teatro Coliseo un transmisor de radio y
transmiten la Opera Parsifal.
Susini, que era médico, había sido destacado en Europa durante la Guerra para
observar los efectos de los gases tóxicos empleados en la misma. Retorna al país
trayendo algunos transmisores y válvulas de rezago y con el resto del grupo al que se
denomina "los locos de la azotea" construyen equipos de radio.
![]() |
| Enrique Telémaco Susini Argentina-1892/1972 |
Sus experimentos culminan con la transmisión del 27 de Agosto que fue recibida
con mucho entusiasmo por unos cincuenta receptores en la Ciudad de Buenos Aires.
Poco después estas transmisiones se hacen regulares y la emisora se
autodenomina Radio Argentina.
Hacia finales de 1922 había cuatro emisoras transmitiendo regularmente en la
Ciudad de Buenos Aires:
Radio Argentina
Radio Cultura
Radio Sud América
Radio Brusa (más tarde Excelsior y actualmente La Red)
En 1923 se agrega la emisora Grand Splendid Theatre y, en La Plata, comienza la
experimentación de la que luego sería Radio Universidad Nacional de La Plata.
Hasta entonces la emisoras funcionaban sin ningún tipo de autorización. En
Noviembre de 1923 el entonces Ministerio de Marina decide que las emisoras deben
estar debidamente autorizadas y les otorga una señal distintiva de tres letras:
LOR Radio Argentina
LOV Radio Brusa
LOW Grand Splendid
LOX Radio Cultura
LOZ Radio Sud América
En 1924 se agrega LOY-Radio Nacional que luego seria Radio Belgrano. El 24 de Abril
de 1924 aparece LOP-Radio Universidad Nacional de La Plata, más tarde LT2 y
finalmente LR11. La emisora funcionaba en el Colegio Nacional y la planta transmisora
en los jardines del mismo bajo la dirección del Profesor de la Facultad de Ciencias
Físico-Matemáticas, Doctor Enrique Fassbender.
En 1925 desaparece Radio Sud América que pasa a ser Radio La Nación, la
actual Radio Mitre. Aparecen LOO-Radio Prieto y LOT-Radio Broadcasting
LOO Radio Prieto
LOP Radio Universidad Nacional de La Plata
LOR Radio Argentina
LOT Radio Broadcasting
LOV Radio Brusa
LOW Grand Splendid
LOX Radio Cultura
LOZ Radio La Nación
Lamentablemente muchas de las fechas y los nombres de los protagonistas se
han olvidado, pero la Universidad Nacional de La Plata puede mostrar orgullosa su
liderazgo en la Radiotelefonía Argentina.
![]() |
| Uno de los primeros equipos experimentales de radiodifusión |
Desarrollo y evolución
La transmisión por radio del código Morse era ciertamente útil, incluso salvaba
vidas, pero otros comenzaron a preguntarse si podría ser utilizada para
transmitir otros sonidos, tales como la voz. Para esto último hubo que esperar
la introducción de la válvula de radio y el desarrollo de los osciladores,
fruto de los trabajos de Ambrose Fleming y Lee de Forest. Finalmente, en la
víspera de Navidad de 1906, Reginald Fessenden transmitió el primer programa
con música y locución.
A pesar de que muchos inventores veían la radio como substituto del telé-
grafo o el teléfono, que transmiten la información de un punto a otro, existía
un problema: cualquier persona con un receptor de radio podría escuchar los
mensajes. Muy pronto, esta falta de privacidad de la radio fue convertida en
una ventaja. Westinghouse, una compañía que fabricaba receptores de radio,
decidió establecer su propia estación en Pittsburgh, Pennsylvania, y el 2 de
noviembre de 1920 la estación KDKA llevó a cabo la primera transmisión pú-
blica. La enorme y creciente popularidad de estas transmisiones de radio
motivó que los inventores buscaran maneras de diseñar mejores receptores.
Al sistema de radio conocido como A.M. (amplitud modulada), se agregó
más tarde el de F.M.(frecuencia modulada), con mayor calidad de sonido y
sin perturbaciones por descargas atmosféricas. La invención del transistor,
en 1947, permitió la construcción de radios portátiles que combinaban AM y
FM. La radio vivía por entonces su edad de oro y aún hoy, a pesar de la TV e
Internet, sigue siendo la mayor fuente de información y entretenimiento.
![]() |
| Heinrich Rudolf Hertz (1857-1894) |
Heinrich Rudolf Hertz (1857-1894) nació
en Hamburgo, Alemania. Mientras
estudiaba en la universidad de
Berlín, demostró aptitudes tanto
para las ciencias como para las lenguas,
aprendiendo árabe y sánscrito.
Se doctoró en 1880 y en 1883 fue
nombrado profesor de física en la
Universidad de Kiel. En 1885 enseñó
en la Universidad de Karlsruhe, en
donde descubrió las ondas electromagnéticas
y probó experimentalmente
que las señales eléctricas pueden
viajar a través del aire libre.
También descubrió el efecto fotoeléctrico
(explicado más adelante por
Albert Einstein) cuando notó que un
objeto cargado pierde su carga más
fácilmente al ser iluminado por la luz
ultravioleta.
Murió de septicemia a la edad de 37
años. La unidad de frecuencia del
Sistema Internacional de unidades,
el hertz (Hz), honra su nombre.



















































Publicar un comentario